Results for exercise science resources

Showing 1 - 10 of 100
Exercise Physiology Laboratory Manual And Cd

Exercise Physiology Laboratory Manual And Cd

exercise physiology lab manualhuman performance guide (1991)

Unlock the complexities of human performance with this comprehensive Exercise Physiology Laboratory Manual. Designed for students and educators, this essential lab manual provides hands-on experiments and practical applications to deepen understanding of physiological responses to exercise. Accompanied by an interactive CD, it's the ultimate resource for mastering key concepts in exercise science and enhancing practical skills in the lab.

Runners World And Run Ross Tucker Faster Body You The Exercise Help Stronger Longer How Science Latest Can

Runners World And Run Ross Tucker Faster Body You The Exercise Help Stronger Longer How Science Latest Can

Runners WorldRun Ross Tucker (2003)

Explore the latest science behind running faster and building a stronger, more resilient body. Learn how Runners World and Run Ross Tucker can help you leverage exercise science to train smarter, run longer, and achieve your peak performance potential. Discover insights that will optimize your training, improve your form, and unlock your ultimate running capabilities.

Manual Nsca Fundamentos Del Entrenamiento Persona

Manual Nsca Fundamentos Del Entrenamiento Persona

NSCA manualpersonal training fundamentals (2020)

Unlock the core principles of effective personal training with this comprehensive NSCA manual. Designed to provide a strong foundation in exercise science, it delves into the fundamentals of program design, client assessment, and advanced strength and conditioning techniques. Ideal for aspiring fitness professionals and those seeking to deepen their understanding of best practices in the field.

uconn chem lab manual

uconn chem lab manual

uconn chemistry lab manualchemistry lab guide (1992)

Explore the essential UConn Chemistry Lab Manual, a comprehensive guide for students undertaking laboratory experiments. This manual provides detailed procedures, safety protocols, and data collection guidance, ensuring a successful and educational experience in the University of Connecticut's chemistry courses. Perfect for understanding chemical reactions and mastering fundamental laboratory techniques.

Information Services In Medical College Libraries

Information Services In Medical College Libraries

medical library servicesacademic library information (2018)

Explore the crucial information services offered by medical college libraries, designed to support students, faculty, and researchers in their academic and clinical pursuits. These essential resources include access to vast digital databases, research assistance, interlibrary loan, and specialized health science literature. Effective information literacy programs ensure users can navigate complex medical information efficiently, playing a vital role in medical education and advancing healthcare knowledge.

Pearson Science 9 Teacher Companion

Pearson Science 9 Teacher Companion

Pearson Science 9Science 9 Teacher Companion (2013)

The Pearson Science 9 Teacher Companion provides comprehensive support for educators delivering the Science 9 curriculum. This essential resource offers detailed lesson plans, assessment materials, activity suggestions, and answer keys, enabling teachers to effectively engage students and enhance their understanding of scientific concepts. It's designed to streamline lesson preparation and foster a more interactive and effective learning environment for both teacher and student.

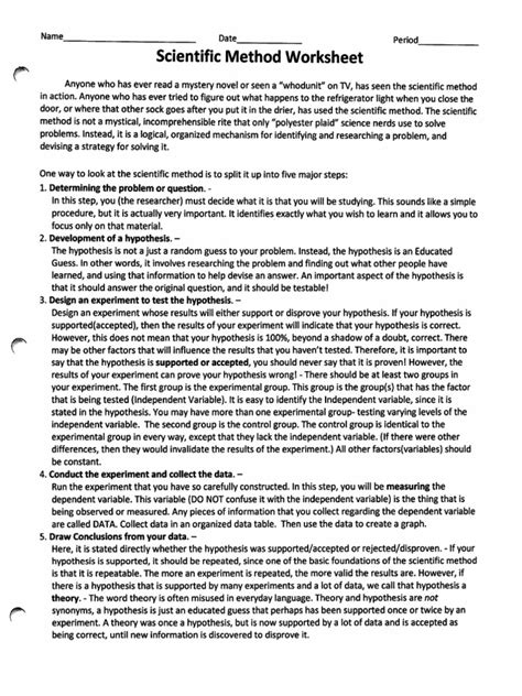
Worksheet Method In Action Scientific Answers

Worksheet Method In Action Scientific Answers

scientific worksheet methodpractical science answers (1998)

Explore the 'Worksheet Method In Action' to discover how structured learning leads to clear, scientific answers. This resource offers practical examples and effective techniques to apply scientific principles, ensuring you gain actionable insights and a deeper understanding of complex concepts through engaging activities.

Cpo Science Answer Key

Cpo Science Answer Key

cpo science answer keycpo science solutions (2000)

Access the comprehensive CPO Science answer key designed to support students and educators alike. This invaluable resource provides clear, accurate solutions and detailed explanations for all exercises within the CPO Science curriculum, ensuring a thorough understanding of scientific concepts. Whether for self-assessment, homework verification, or effective lesson planning, this answer key is an essential tool for mastering CPO Science content and achieving academic success.

Bill Nye Electricity Worksheet Answers

Bill Nye Electricity Worksheet Answers

Bill Nye ElectricityElectricity Worksheet Answers (2013)

Looking for reliable Bill Nye Electricity Worksheet Answers? This comprehensive guide provides solutions and explanations for various electricity concepts covered in Bill Nye's engaging science episodes, perfect for students, educators, and anyone reviewing fundamental electrical principles and experiments.

Anatomy And Human Movement Pocketbook E Book

Anatomy And Human Movement Pocketbook E Book

anatomy human movement ebookkinesiology pocketbook (2014)

The Anatomy And Human Movement Pocketbook E Book offers a concise and accessible guide to the fundamental principles of human anatomy and biomechanics. Ideal for students, practitioners, or anyone interested in understanding how the body moves, this ebook serves as a portable reference for essential concepts in kinesiology and movement science.

Page 1 of 10
Randomized data view for Wiley component with images.